色彩和光的知識
2. 基本概念
2.4 色度測定
2.4.4.1 三刺激值色度測定
2.4.4.1.1 CIE 1931 Yxy色度圖
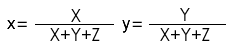
XYZ三刺激值對定義一種顏色是非常有用的,但結果卻不是很容易理解。 因此,1931年,CIE在兩維方向上定義了一個獨立于亮度的色空間,這就是Yxy色空間。Yxy色空間中,Y表示亮度,x和y是從三刺激值XYZ中計算出的色度值。計算公式如下:

1931系統的缺點是圖表上相等的距離,不表示相同的色彩感知差別,因為人眼的感知是非線性的。
![]()
XYZ三刺激值對定義一種顏色是非常有用的,但結果卻不是很容易理解。 因此,1931年,CIE在兩維方向上定義了一個獨立于亮度的色空間,這就是Yxy色空間。Yxy色空間中,Y表示亮度,x和y是從三刺激值XYZ中計算出的色度值。計算公式如下:

1931系統的缺點是圖表上相等的距離,不表示相同的色彩感知差別,因為人眼的感知是非線性的。