利用高光譜成像技術檢測薄膜厚度
薄膜和涂層的厚度作為關鍵質量參數,其均勻性將直接影響產品功能性,需要通過精確的手段檢測。目前實驗室的臺式儀器和在線檢測系統廣泛采用X射線技術與光學光譜法。 然而,現有技術僅依賴點傳感器,在線檢測時需通過橫向掃描平臺形成“之”字形路徑,導致薄膜僅能局部覆蓋,無法實現全幅面連續檢測。
線掃描(推掃式)高光譜相機可以克服這一限制,實現對薄膜或涂層的全面檢測。在每次線掃描中,能夠獲取整個薄膜寬度上具有高空間分辨率的光譜數據。
為驗證高光譜成像技術在此應用中的效果,Specim使用工作波長為935–1700
nm的高光譜相機(Specim
FX17)對四組聚合物薄膜樣品進行了測量。樣品薄膜的標稱厚度分別為17、20(兩組)和23
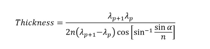
um。實驗采用鏡面反射,并對干涉現象進行分析。根據光譜中干涉峰的位置和間距,可推斷出薄膜厚度:

λp為干涉峰以nm為單位所對應的波長,其中p為干涉級數;n為薄膜材料的折射率;α為鏡面反射入射角度。
通過鏡面反射測得的光譜干涉圖被轉換為厚度分布圖。
利用Matlab將光譜干涉數據轉換為厚度熱度圖。基于FX17光譜數據計算的平均厚度分別為18.4、20.05、21.7和23.9 μm,標準偏差分別為0.12、0.076、0.34和0.183 μm。測量時薄膜未受拉伸,這可能是導致實測值略高于標稱值的原因。此外,我們還發現了一些缺陷。在薄膜1中,我們發現了兩條可能由局部壓力造成的細槽。
高光譜成像技術將顯著提升當前基于光學光譜法質量控制系統的薄膜和涂層檢測效率。以Specim
FX17為例,其每秒可捕獲數千條線圖像,從而實現對薄膜的100%在線檢測,提高質量一致性并減少浪費。
相比于目前基于點光譜儀的XY掃描方案,使用高光譜相機的臺式檢測系統速度顯然更快。并且高光譜相機使用的光源無害,可避免X射線傳感器的輻射風險。
綜合理論計算并預留足夠的誤差冗余,我們建議FX10用于測量從1.5到30μm的薄膜對象,而FX17用于測量從4到90μm的薄膜對象。
關于Specim
作為高光譜成像(HSI)行業的龍頭公司之一,Specim產品涵蓋從可見光到熱紅外全部波段的測量,為用戶提供全面的高光譜成像解決方案,滿足工業、科學和研究用戶的不同需求。產品包括工業高光譜相機、實驗室高光譜相機以及機載高光譜相機,適配客戶特定的使用場景。Specim以分揀機客戶為核心,同時在分選回收、食品和制藥等行業也擁有廣泛的客戶群體。去年,Specim正式推出全新的SpecimONE高光譜成像平臺,該平臺使高光譜成像技術更便利、更快捷地與分揀機相結合。2021年起,SpecimONE平臺可開始交付。借助SpecimONE平臺,柯尼卡美能達將進一步擴大工業領域中高光譜成像的業務。


產品詢價
維修服務
資料下載
聯系我們
電子期刊